Działka

Opole

Działka

59 399 865 zł

Treść ogłoszenia

WAŁBRZYSKA SPECJALNA STREFA EKONOMICZNA

„INVEST-PARK” sp. z o.o. z siedzibą w Wałbrzychu

58 – 306 Wałbrzych, ul. Uczniowska 16

tel.: (+48 74) 664-91-64, e-mail: [Email protected]



jako Zarządzający Wałbrzyską Specjalną Strefą Ekonomiczną INVEST-PARK

zaprasza do uczestnictwa w aukcji

mającej na celu wyłonienie przedsiębiorcy, który nabędzie nieruchomość, opisaną w punkcie 1 poniżej (w ramach umowy sprzedaży).

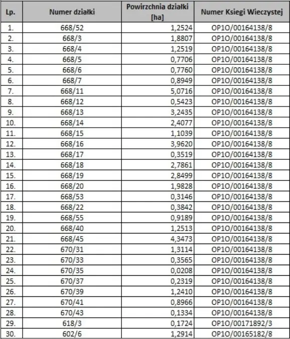
1. W skład mienia objętego aukcją wchodzi nieruchomość gruntowa niezabudowana, położona w województwie opolskim, powiat miasto Opole, jednostka ewidencyjna miasto Opole, obręb ewidencyjny 166101_1.0147, Wrzoski, w mieście Opole, w Podstrefie Opole-Wrzoski Wałbrzyskiej Specjalnej Strefy Ekonomicznej INVEST-PARK, będąca własnością WSSE „INVEST-PARK” sp. z o.o., o powierzchni całkowitej 43,9999 ha, składająca się z działek gruntu o numerach wskazanych poniżej w tabeli, dla której Sąd Rejonowy w Opolu, VI Wydział Ksiąg Wieczystych prowadzi księgi wieczyste o numerach: OP1O/00164138/8, OP1O/00171892/3, OP1O/00165182/8 (przy czym działki o numerach 668/53, 668/55, 670/31, 670/33, 670/35, 670/37, 670/39, 670/41 i 670/43, 618/3 oraz 602/6 powstały w wyniku podziału działek objętych ww. księgami wieczystymi, a ich aktualne numery ewidencyjnie nie zostały jeszcze wpisane do księgi wieczystej), zwana dalej „Nieruchomością”.

2. Aukcja skierowana jest wyłącznie do przedsiębiorców którzy: a) złożyli wniosek o wydanie decyzji o wsparciu na realizację inwestycji na co najmniej części Nieruchomości lub uzyskali decyzję o wsparciu na realizację inwestycji na co najmniej części Nieruchomości, zgodnie z przepisami ustawy z dnia 10 maja 2018 r. o wspieraniu nowych inwestycji (t.j. Dz. U. z 2025 r. poz. 469); lub b) złożyli wniosek o udzielenie pomocy publicznej na realizację inwestycji na przyspieszenie inwestycji w sektorach o znaczeniu strategicznym dla przejścia na gospodarkę o zerowej emisji netto niskoemisyjnej na co najmniej części Nieruchomości, zgodnie z sekcją 2.8 pkt 85 lit. d Tymczasowych kryzysowych i przejściowych ram środków pomocy państwa w celu wsparcia gospodarki po agresji Rosji wobec Ukrainy (Dz.U. UE 2023/C 101/03 z 17 marca 2023 r.), w związku z art. 53 ust. 3 ustawy z dnia 7 lipca 2023 r. o przygotowaniu i realizacji inwestycji w zakresie Krajowego Centrum Przetwarzania Danych (Dz. U. z 2023 r. poz. 1501, ze zm.) oraz rozporządzeniem Ministra Rozwoju i Technologii z dnia 29 września 2023 r. w sprawie udzielania pomocy publicznej na realizację projektów inwestycyjnych o znaczeniu strategicznym dla przejścia na gospodarkę o zerowej emisji netto (Dz. U. z 2023 r. poz. 2127 oraz z 2024 r. poz. 1242) lub zawarli umowę o udzielenie pomocy publicznej w formie dotacji celowej na realizację na co najmniej części Nieruchomości projektu niskoemisyjnego zgodnie z ww. przepisami; lub c) złożyli wniosek o udzielenie pomocy publicznej na realizację inwestycji na co najmniej części Nieruchomości w ramach Programu wspierania inwestycji o istotnym znaczeniu dla gospodarki polskiej na lata 2011-2030, przyjętego przez Radę Ministrów 5 lipca 2011 r., znowelizowanego 5 czerwca 2023 r. (dalej: „Program”), zgodnej z zasadami udzielania pomocy publicznej w UE określonymi w Wytycznych w sprawie regionalnej pomocy państwa (Dz.Urz.UE.C.2021.153 z 19.4.2021, s. 1–46) oraz w Rozporządzeniu Komisji (UE) nr 651/2014 z dnia 17 czerwca 2014 r. uznającym niektóre rodzaje pomocy za zgodne z rynkiem wewnętrznym w zastosowaniu art. 107 i 108 Traktatu (Dz.Urz.UE.L.2014.187 z 26.6.2014, str. 1) lub zawarli umowę o pomocy publicznej w formie dotacji celowej na realizację na co najmniej części Nieruchomości projektów ramach Programu.

3. Cena wywoławcza Nieruchomości określona została na kwotę 59.399.865,00 zł (słownie: pięćdziesiąt dziewięć milionów trzysta dziewięćdziesiąt dziewięć tysięcy osiemset sześćdziesiąt pięć złotych i 00/100). Podana cena jest ceną netto. Do ceny zostanie doliczony podatek VAT według stawki wynikającej z właściwych przepisów prawa.

4. Warunkiem udziału w aukcji jest wykupienie od WSSE „INVEST-PARK” sp. z o.o. Specyfikacji Istotnych Warunków Aukcji nr 607 i wpłacenie wadium.

5. Wadium w pieniądzu wynosi 10 % ceny wywoławczej netto Nieruchomości tj. 5.939.986,50 zł (słownie: pięć milionów dziewięćset trzydzieści dziewięć tysięcy dziewięćset osiemdziesiąt sześć złotych i 50/100) i płatne jest do dnia 04.12.2025 r. na rachunek bankowy WSSE „INVEST-PARK” sp. z o.o. PKO BP S.A. O/Wałbrzych nr 23 1020 5095 0000 5202 0007 4138 - tytuł wpłaty: „Wadium SIWA 607”. Za dzień wpłaty wadium uznaje się dzień wpływu wadium na rachunek bankowy WSSE „INVEST-PARK” sp. z o.o. Kopię dowodu wpłaty wadium należy dołączyć do zgłoszenia.

6. Nieruchomość jest objęta zapisami miejscowego planu zagospodarowania przestrzennego „Wrzoski I” w Opolu, zatwierdzonego uchwałą Nr XIV/207/19 Rady Miasta Opola z dnia 04 lipca 2019 r. (Dz. Urz. Woj. Opolskiego poz. 2496 z dnia 25 lipca 2019 r.), oraz rozstrzygnięcia nadzorczego Wojewody Opolskiego nr IN.I.743.72.2019.AB z dnia 09 sierpnia 2019 r. (Dz. Urz. Woj. Opolskiego poz. 2684 z dnia 26 sierpnia 2019 r.). Zgodnie z zapisami ww. planu działki wchodzące w skład Nieruchomości oznaczone są symbolami 2P/U - tereny obiektów produkcyjnych, składów i magazynów lub usług.

7. Nieruchomość będzie miała dostęp do drogi publicznej przez ustanowienie odpowiedniej służebności. Przy sprzedaży Nieruchomości zostanie ustanowiona na rzecz każdoczesnego nabywcy i użytkownika Nieruchomości służebność gruntowa polegająca na prawie przejazdu i przechodu, bez prawa parkowania i postoju, po działkach gruntu nr 670/24 o powierzchni 252 m² i nr 670/44 o powierzchni 2.067 m², położonych w rejonie ul. Inwestycyjnej w mieście Opole, obręb ewidencyjny 166101_1.0147, Wrzoski, zapisanych w Księdze Wieczystej nr OP1O/00164138/8, której koszt uwzględniony został w cenie nabycia Nieruchomości. Przebieg służebności gruntowej odbywać się będzie całą szerokością działek nr 670/24 i 670/44, aż do działki nr 625/3 posiadającej status drogi publicznej – ul. Inwestycyjnej. Ulica Inwestycyjna prowadzi do ronda łączącego drogę krajową nr 46 z drogą krajową nr 94. Powierzchnia ustanawianej służebności gruntowej obejmuje całkowitą powierzchnię w/w działek i wyniesie 2.319m².

8. Nieruchomość nie jest objęta uproszczonym planem urządzania lasu, o którym mowa w art. 19 ust 2, ani decyzją starosty, o której mowa w art. 19 ust. 3 ustawy z dnia 28 września 1991 r. o lasach (t.j. Dz. U. z 2025 r. poz. 567), z wyłączeniem: działki gruntu nr 668/22 - w części o pow. 0,336 ha stanowiącej klasoużytek LsIV oraz działki gruntu nr 670/39 – w części o pow. 0,3300 ha stanowiącej klasoużytek LsIV. Zrealizowanie inwestycji na przedmiotowej Nieruchomości może być związane z procedurą wyłączenia gruntu w części stanowiącej klasoużytek Ls z produkcji leśnej przed uzyskaniem pozwolenia na budowę oraz ponoszeniem opłat z tym związanych w myśl ustawy z dnia 3 lutego 1995 r. o ochronie gruntów rolnych i leśnych (t.j. Dz.U. z 2024 r. poz. 82 z późn. zm.) oraz odszkodowaniem za przedwczesny wyrąb drzewostanu. WSSE „INVEST-PARK” sp. z o.o. pozyskała opis taksacyjny drzewostanu dla działek gruntu nr 668/22, 670/7 (668/39), 668/25, 668/26, 668/28 w części stanowiącej klasoużytki Ls, obręb ewidencyjny Wrzoski (0147), będących własnością WSSE „INVESTPARK” sp. z o.o. Opis taksacyjny stanowi załącznik do Specyfikacji nr 607.

9. Nieruchomość nie jest położona w obszarze rewitalizacji, o którym mowa w art. 8 ust. 1 ustawy z dnia 9 października 2015 r. o rewitalizacji (t.j. Dz. U. z 2024 r. poz. 278). Nieruchomość nie jest objęta Specjalną Strefą Rewitalizacji, ustanowioną uchwałą nr LXXX/1386/23 Rady Miasta Opola z dnia 30 listopada 2023 r., zgodnie z art. 25 ustawy z dnia 9 października 2015 r. o rewitalizacji (t.j. Dz. U. z 2024 r. poz. 278).

10. Na Nieruchomości nie występują śródlądowe wody powierzchniowe płynące oraz stojące, w stosunku do których Państwowe Gospodarstwo Wodne Wody Polskie wykonuje uprawnienia właścicielskie Skarbu Państwa. Nieruchomość nie znajduje się na obszarach szczególnego zagrożenia powodzią w rozumieniu art. 16 ust. 34 ustawy z dnia 20 lipca 2017 r. Prawo wodne (Dz. U. z 2025 r. poz. 960 ze zm.), zgodnie z obowiązującymi mapami zagrożenia powodziowego (MZP) oraz mapami ryzyka powodziowego (MRP), opublikowanymi na Hydroportalu Państwowego Gospodarstwa Wodnego Wody Polskie, które jako oficjalne dokumenty planistyczne, stanowią podstawę do podejmowania działań związanych z planowaniem przestrzennym i zarządzaniem kryzysowym.

11. Na terenie Nieruchomości nie znajdują się obiekty wpisane do Gminnej Ewidencji Zabytków Miasta Opola.

12. Zgodnie z informacją Prezydenta Miasta Opola, wykonującego zadania z zakresu administracji rządowej, nie jest mu znany fakt istnienia roszczeń byłych właścicieli dotyczących zwrotu jaki i zapłaty odszkodowania za nieruchomości położne w Opolu, obejmujące działki gruntu wchodzące w skład Nieruchomości. Ponadto Skarb Państwa reprezentowany przez Prezydenta Miasta Opola nie jest stroną w jakichkolwiek postępowaniach sądowych dotyczących Nieruchomości.

13. W odniesieniu do Nieruchomości, na podstawie art. 630 ust. 1 w związku z art. 628 ust. 1 ustawy z dnia 11 marca 2022 r. o Obronności Ojczyzny (Dz. U. z 2024 r. poz. 825, 1014, 1018), nie zostały wydane przez Prezydenta Miasta Opola decyzje administracyjne o przeznaczeniu Nieruchomości na cele świadczeń rzeczowych na rzecz obrony, w tym planowanych do wykonania w razie ogłoszenia mobilizacji i w czasie wojny, oraz nie prowadzi on żadnego postępowania administracyjnego w tym zakresie.

14. Nieruchomość położona jest poza formami ochrony przyrody, o których mowa w art. 6 ust. 1 ustawy z dnia 16 kwietnia 2004 r. o ochronie przyrody (Dz. U. z 2024 r. poz. 1478 ze zm.). Na terenie Nieruchomości nie występują strefy ochrony gatunków chronionych. Powyższa informacja nie zastępuje rozpoznania aktualnego stanu środowiska przyrodniczego terenu.

15. Grunty znajdujące się w granicach Nieruchomości są gruntami rolnymi wytworzonymi z gleb pochodzenia mineralnego. Zrealizowanie inwestycji na przedmiotowej Nieruchomości może być związane z procedurą wyłączenia gruntu z produkcji rolniczej przed uzyskaniem pozwolenia na budowę oraz ponoszeniem opłaty z tym związanej w myśl ustawy z dnia 3 lutego 1995 r. o ochronie gruntów rolnych i leśnych (t.j. Dz.U. z 2024 r. poz. 82 z późn. zm.).

16. Nieruchomość jest objęta granicami specjalnej strefy ekonomicznej na podstawie rozporządzenia Rady Ministrów z dnia 28 lipca 2015 r. (Dz. U. z 2015 r. poz. 1235) zmieniającego rozporządzenie Rady Ministrów z dnia 15 grudnia 2008 r. w sprawie wałbrzyskiej specjalnej strefy ekonomicznej (Dz. U. z 2018 r. poz. 415), wydane na podstawie ustawy z dnia 20 października 1994 r. o specjalnych strefach ekonomicznych, z wyjątkiem działki nr 602/6 o powierzchni 1,2914 ha.

17. Nieruchomość nie jest obciążona umową dzierżawy z przeznaczeniem na cele rolnicze.

18. Informacja o obciążeniach Nieruchomości:

a) na działce gruntu nr 668/45 wchodzącej w skład Nieruchomości zlokalizowana jest infrastruktura energetyczna - słupy oraz linia elektroenergetyczna WN 400 kV należąca do Polskich Sieci Elektroenergetycznych, ze strefą buforową 60 m (po 30 m od osi linii). W miejscowym planu zagospodarowania przestrzennego dla tego obszaru jest wpisany zakaz budowy obiektów budowlanych i sadzenia drzew uniemożliwiających dostęp do przebiegającej infrastruktury technicznej;

b) w księdze wieczystej nr OP1O/00164138/8 wpisana jest odpłatna i nieograniczona w czasie służebność przesyłu w południowej części działki nr 668/45 wchodzącej w skład Nieruchomości na przeprowadzenie, utrzymanie i funkcjonowanie sieci, tj. pasa technologicznego linii kablowej SN wraz z linią światłowodową o długości 35 m szerokości 1 m; (po 0,5 m na każdą ze stron osi kabla), należącej do RRSP 5 spółka z ograniczoną odpowiedzialnością z siedzibą w Warszawie;

c) w odniesieniu do działki gruntu nr 602/6 (powstałej z podziału działki nr 602/2) Polskiemu Koncernowi Naftowemu Orlen Spółka Akcyjna przysługuje prawo odkupu w okresie 5 (pięciu) lat, licząc od dnia zawarcia umowy sprzedaży z dnia 12.07.2021 r. Rep. A Nr 2519/2021, tj. do dnia 11 lipca 2026 r.;

d) przez północną część Nieruchomości, przez działki gruntu nr 668/4, 668/5, 668/6, 668/7, 618/3, 670/31, przebiega kabel techniczny należący do firmy Orange.

19. Specyfikację, która zawiera szczegółowe warunki aukcji można otrzymać codziennie – oprócz sobót, niedziel i świąt – w godzinach 8:00 – 15:00 w siedzibie WSSE „INVEST-PARK” sp. z o.o. (58-306 Wałbrzych, ul. Uczniowska 16), po wpłaceniu kwoty 12.300,00zł (słownie: dwanaście tysięcy trzysta złotych 00/100) brutto (z VAT) – na rachunek bankowy WSSE „INVEST-PARK” sp. z o.o. PKO BP S.A. O/Wałbrzych nr 23 1020 5095 0000 5202 0007 4138 – tytuł wpłaty: „SIWA 607”. Nie przewiduje się dodatkowych warunków aukcji, poza opisanymi w niniejszym zaproszeniu i w Specyfikacji nr 607.

20. Zgłoszenia pisemne należy składać w zamkniętych kopertach w siedzibie WSSE „INVEST-PARK” sp. z o.o. (58-306 Wałbrzych, ul. Uczniowska 16) w terminie do dnia 05.12.2025 r. do godz. 9:00. Sposób przygotowania zgłoszenia określa Specyfikacja nr 607.

21. Aukcja składająca się z kwalifikacji oraz licytacji odbędzie się w siedzibie WSSE „INVEST-PARK” sp. z o.o. w dniu 05.12.2025 r. o godz. 10:00.

22. W odniesieniu do Nieruchomości prawo pierwokupu przysługuje:

a) Lasom Państwowym zgodnie z art. 37a ustawy o lasach z dnia 28 września 1991 r. (t.j. Dz. U. z 2025 r. poz. 567), przy czym w przypadku gdy prawo pierwokupu gruntu z mocy prawa przysługuje kilku podmiotom, pierwszeństwo w wykonaniu prawa pierwokupu przysługuje Lasom Państwowym (art. 37a ust. 5 ustawy o lasach). Prawo pierwokupu może być wykonane w terminie miesiąca od dnia otrzymania przez nadleśniczego zawiadomienia o treści umowy sprzedaży (art. 37c ustawy o lasach);

b) Krajowemu Ośrodkowi Wsparcia Rolnictwa zgodnie z art. 29 ust. 4 ustawy z dnia 19 października 1991 r. o gospodarowaniu nieruchomościami rolnymi Skarbu Państwa (t.j. Dz.U. z 2025 r. poz. 826). Prawo pierwokupu może być wykonane w terminie jednego miesiąca od daty zawiadomienia o zawarciu warunkowej umowy sprzedaży Nieruchomości;

c) Gminie Opole zgodnie z art. 109 ust. 1 pkt 1 ustawy z dnia 21 sierpnia 1997 r. o gospodarce nieruchomościami (t.j. Dz. U. z 2024 r. poz. 1145 z późn. zm.). Prawo pierwokupu może być wykonane w terminie jednego miesiąca od daty zawiadomienia o zawarciu warunkowej umowy sprzedaży Nieruchomości;

d) Polskiemu Koncernowi Naftowemu Orlen Spółka Akcyjna w odniesieniu do działki gruntu nr 602/6 (powstałej z podziału działki nr 602/2), na podstawie umowy sprzedaży z dnia 12.07.2021 r., Rep. A Nr 2519/2021.

23. Zarządzający Wałbrzyską Specjalną Strefą Ekonomiczną INVEST-PARK może odwołać aukcję, zakończyć aukcję wynikiem negatywnym, zamknąć aukcję bez wyboru zgłoszenia albo unieważnić aukcję. O unieważnieniu postępowania Zarządzający zawiadomi pisemnie równocześnie wszystkich oferentów, podając uzasadnienie faktyczne i prawne.

24. W aukcji jako oferenci nie mogą uczestniczyć:

a) członkowie Zarządu i Rady Nadzorczej WSSE „INVEST-PARK” sp. z o.o.,

b) pracownicy WSSE „INVEST-PARK” sp. z o.o. oraz inne osoby, którym powierzono wykonanie czynności związanych z przeprowadzeniem aukcji,

c) małżonek, wstępni, zstępni i rodzeństwo osób, o których mowa w lit. a-b,

d) osoby, które pozostają z osobami, o których mowa w lit. a-b w takim stosunku prawnym lub faktycznym, że może to budzić uzasadnione wątpliwości co do bezstronności, obiektywizmu i rzetelności aukcji.

25. Treść niniejszego ogłoszenia w języku polskim i angielskim opublikowano na stronie internetowej WSSE „INVESTPARK” sp. z o.o.: www.invest-park.com.pl w dziale Aktualności/Przetargi pod linkiem https://investpark.com.pl/aktualnosci/





Opracowała: Beata Rzemyszkiewicz



Kontakt:
WAŁBRZYSKA SPECJALNA STREFA EKONOMICZNA „INVEST – PARK” sp. z o.o. z siedzibą w Wałbrzychu
tel: 74 664 91 64
[Email protected]


Ogłoszenie wysłane z programu dla biur nieruchomości ASARI CRM (asaricrm.com)



Lokalizacja
Opole
opolskie
Informacje
Numer oferty: 43444/3186/OGS
Kontakt
AMK Portal Sp. z o.o.
WAŁBRZYSKA SPECJALNA STREFA EKONOMICZNA „INVEST – PARK” sp. z
74 664 91 64

Podobne oferty

 Opole

Działka 11 20 ara Opole Grudzice

Opole

Do sprzedania działka o powierzchni 11,20 ara, położona w Opolu, dzielnica Grudzice. Działka o kształcie trapezu, znajduje się na terenach...

m2
139 000 zł
 Opole

Działka o pow. 10 77 Opole Czarnowąsy

Opole

Do sprzedaży działka o powierzchni 10,77 ara, znajdująca się w Opolu, dzielnica Czarnowąsy. Działka o szerokości frontu ok. 35 metrów,...

m2
250 000 zł
 Opole   Magazynowa

Działka

Opole, Magazynowa

Położenie: Opole, ul. Magazynowa 1, dzielnica Zakrzów Przeznaczenie: Ba – tereny przemysłowe Powierzchnia łączna terenu: 1,2111 ha, w tym: -...

m2
5 500 000 zł